未分类题
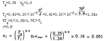
某钢筋混凝土烟囱,如下图所示,设防烈度为8度,设计基本地震加速度为0.2g,设计地震分组为第一组,场地类别为Ⅱ类。试验算烟囱基本自振周期的水平地震影响系数,并指出它与下列( )项数值最为接近。
1.jpg)
A.0.059
B.0.053
C.0.047
D.0.035
A.2g,设计地震分组为第一组,场地类别为Ⅱ类。试验算烟囱基本自振周期的水平地震影响系数,并指出它与下列(
B.shangxuebA.cn/images/ct_jgzjgexm_jgzjgexchoose_00311(20093)1.jpg'>
A.0.059
B.0.053
C.0.047
【参考答案】
B
解析:按《建筑抗震设计规范》5.1.4-1及2.1.4-2