多项选择题
销连接的主要作用是()。
A. 定位
B. 装配时的辅助零件
C. 传递横向力和转矩
D. 安全保护
<上一题
目录
下一题>
点击查看答案&解析
打开小程序,免费文字、语音、拍照搜题找答案
热门
试题
单项选择题
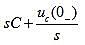
电容C的复频域导纳是( )。
A.sC
B.
C.
D.
点击查看答案
单项选择题
A. B. C. D.
A.
B.
C.
D.
点击查看答案