赞题库-背景图
多项选择题


A、选项A
B、选项B
C、选项C
D、选项D

<上一题 目录 下一题>
热门试题

单项选择题已知298K时,△f(NO2,g)=33.2kJ·mol-1,△f(H2O,l)=-285.8kJ·mol-1,△f(HNO3,l)=-173.2kJ·mol-1,△f(NO,g)=90.3kJ·mol-1,则反应3NO2(g)+H2O(l)→2HNO3(l)+NO(g)的△r=( )。

A.69.9kJ·mol-1
B.-69.9kJ·mol-1
C.169.7kJ·mol-1
D.-169.7kJ·mol-1

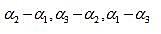
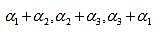
单项选择题A. B. C. D.

A.
B.
C.
D.