赞题库-背景图
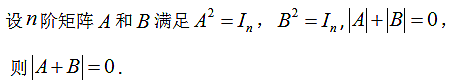
不定项选择

A.正确
B.错误
<上一题 目录 下一题>
热门试题

单项选择题在延安召开的2016森林城市建设座谈会上获悉:国家林业局批准西安、延安等全国()个城市“国家森林城市”称号并授牌。

A. 20
B. 21
C. 22
D. 23

单项选择题不考虑某些旋转因子的特殊性,N点FFT每一级所需的复数乘法次数为()。 A、 B、 C、 D、