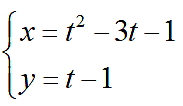
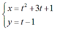
单项选择题
A.
B.
C.
D.
<上一题
目录
下一题>
点击查看答案
打开小程序,免费文字、语音、拍照搜题找答案
热门
试题
单项选择题
平面简谐波的表达式为,式中y和x的单位为m,t的单位为s,则以下不正确的是
A.周期为0.4s
B.波长为3m
C.波速为10 m s-1
D.波沿x轴负方向传播
点击查看答案
单项选择题
A. B. C. D.
A.
B.
C.
D.
点击查看答案