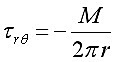
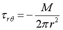
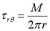
单项选择题设应力函数为,则切应力为
单项选择题在下图所示电路中,已知晶体管的β=100,rbe=1kΩ;静态时UBEQ=0.7V,UCEQ=6V;输入电压U˙i=20mV;耦合电容对交流信号可视为短路。判断下列结论是否正确,对者选“Yes”错者选“No”。