单项选择题
如下代码的作用是:
var img =
("div").append(img);
A、创建一个img对象
B、创建一个img对象,并附加到div对象上
C、查找img对象
D、查找img对象,并附加到div对象上
<上一题
目录
下一题>
点击查看答案
打开小程序,免费文字、语音、拍照搜题找答案
热门
试题
单项选择题
A. B. C. D.
A.
B.
C.
D.
点击查看答案
单项选择题
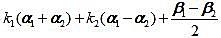
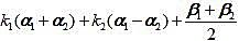
已知为方程组的两个不同的解,为的基础解系,为两个任意常数,则的通解为( )。
A.
B.
C.
D.
点击查看答案