单项选择题
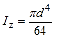
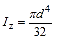
图示半圆形的惯性矩
A.
B.
C.
D.
<上一题
目录
下一题>
点击查看答案
打开小程序,免费文字、语音、拍照搜题找答案
热门
试题
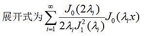
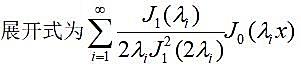
单项选择题
A. B. C. D.
A.
B.
C.
D.
点击查看答案
单项选择题
A、圆孔 B、椎孔 C、闭孔 D、滋养孔
点击查看答案