单项选择题
C类的默认子网掩码是______________。
A.255.255.255.0
B.255.255.0.0
C.255.0.0.0
D.255.255.255.255
<上一题
目录
下一题>
点击查看答案&解析
打开小程序,免费文字、语音、拍照搜题找答案
热门
试题
单项选择题
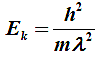
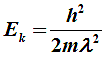
A. B. C. D.
A.
B.
C.
D.
点击查看答案
单项选择题
有毒药用植物乌头的花冠呈现出蓝色鲜明而美丽的颜色。
A.对
B.错
点击查看答案&解析