单项选择题
A、
B、
C、
D、
<上一题
目录
下一题>
点击查看答案
打开小程序,免费文字、语音、拍照搜题找答案
热门
试题
单项选择题
该记法为反复记号。( )
A.对
B.错
点击查看答案
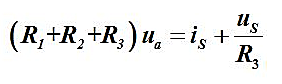
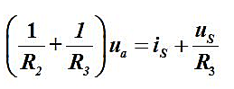
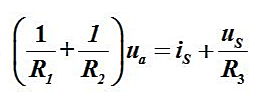
单项选择题
写出Ua的结点电压方程
A.
B.
C.
D.
点击查看答案