赞题库-背景图
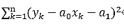
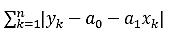
单项选择题

A.
B.
C.
D.
<上一题 目录 下一题>
热门试题

单项选择题图示机件的视图表达中,A处是哪种视图?

A.剖视图
B.向视图
C.局部视图
D.斜视图

单项选择题A quelle dynastie, de l’oxyde de cobalt a été apporté en Chine pour la fabrication des porcelaines « bleu et blanc » ? ( )。 A、 Song B、 Yuan C、 Ming D、 Qing