赞题库-背景图
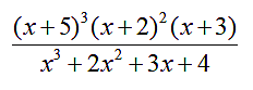
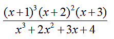
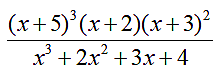
单项选择题

A. 发散 B. 条件收敛 C. 绝对收敛 D. 无法判断