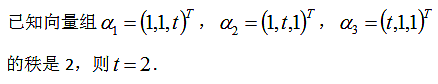
不定项选择
A.正确
B.错误
<上一题
目录
下一题>
点击查看答案
打开小程序,免费文字、语音、拍照搜题找答案
热门
试题
多项选择题
A. B. C. D.
A.
B.
C.
D.
点击查看答案
单项选择题
A.RA=43qL 128 B.RA=39qL 128 C.RA=41qL 128 D.RA=33qL 128
A.RA=43qL/128
B.RA=39qL/128
C.RA=41qL/128
D.RA=33qL/128
点击查看答案