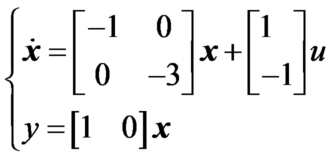
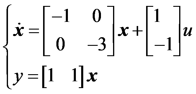
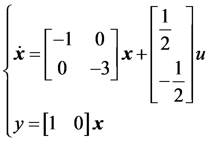
单项选择题已知系统的状态空间表达式为:线性变换后对角标准型为( )。
单项选择题Consider aa causal and stable system . To make its inverse system stable, the impulse response of should be ( )