单项选择题
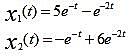
已知系统的初始状态和矩阵指数函数如下所示,
,
则其初始状态激励的响应为 ( )
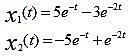
A.
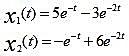
B.
C.
D.
<上一题
目录
下一题>
点击查看答案
打开小程序,免费文字、语音、拍照搜题找答案
热门
试题
单项选择题
. A、 B、 C、 D、
点击查看答案
多项选择题
A、B、D
点击查看答案