单项选择题
曲线
与直线
及
所围成的区域的面积
( )
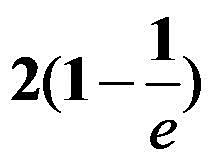
A.
B.
C.
D.
<上一题
目录
下一题>
点击查看答案
打开小程序,免费文字、语音、拍照搜题找答案
热门
试题
多项选择题
两圆环A、B置于同一水平面上,其中A为均匀带电绝缘环,B为导体环。当A以如图所示的方向绕中心转动的角速度发生变化时,B中产生如图所示方向的感应电流,则
点击查看答案
不定项选择
级数可以逐项微分.
A.正确
B.错误
点击查看答案