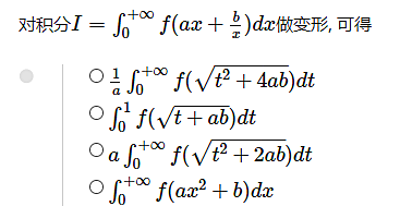
单项选择题
A.如图选项1
B.如图选项2
C.如图选项3
D.如图选项4
<上一题
目录
下一题>
点击查看答案
打开小程序,免费文字、语音、拍照搜题找答案
热门
试题
单项选择题
数控车床在机床空运行状态下, 机床主轴不动,程序中编制的进给速度值也不起作用。( ) A、正确 B、错误
点击查看答案
单项选择题
十九大报告提出新时代的战略安排是
A.三步走
B.两步走
C.新三步走
D.从小康之家到全面小康
点击查看答案