单项选择题
A.
B.
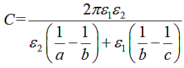
C.
D.
<上一题
目录
下一题>
点击查看答案
打开小程序,免费文字、语音、拍照搜题找答案
热门
试题
单项选择题
A.B.C.D.
A.
B.
C.
D.
点击查看答案&解析
单项选择题
A.0;0B.C.D.
A.0;0
B.
C.
D.
点击查看答案&解析