赞题库-背景图
单项选择题

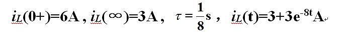
电路如图所示,t=0时开关S闭合,用三要素法求解t>0时的,三个要素的值分别为(            ),t>0时的表达式为(         )。

A
B
C
D

<上一题 目录 下一题>
热门试题

单项选择题党的十九大报告中指出:必须坚持一个中国原则,坚持(),推动两岸关系和平发展,深化两岸经济合作和文化往来,推动两岸同胞共同反对一切分裂国家的活动,共同为实现中华民族伟大复兴而奋斗。

A. “问题导向”
B. “九二共识”
C. “长短兼顾”
D. “善度自活”

单项选择题习近平总书记2020年同党外人士共迎新春时提到,中国共产党领导的多党合作和()制度是中国土壤中生长出来的新型政党制度,在优化决策、协调关系、维护稳定等方面发挥了独特作用。

A. 内部监督
B. 公共治理
C. 授权审批
D. 政治协商