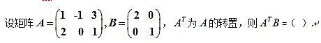
单项选择题
A.
B.
C.
D.
<上一题
目录
下一题>
点击查看答案
打开小程序,免费文字、语音、拍照搜题找答案
热门
试题
单项选择题
流行性乙型脑炎最常见的并发症是 A.支气管肺炎B.压疮C.口腔炎D.尿路感染E.出血
点击查看答案&解析
单项选择题
如果要对信号进行采样并在接收端进行重建,则最低的取样频率等于_______。
点击查看答案